惠州市2023年普通高中和中职技工学校招生计划
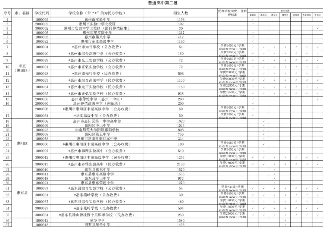
惠州市2023年普通高中各批次学校
及招生范围(点击图片看大图)





惠州中职(技工)院校2023年招生计划
(点击可查看大图)


文章标题:惠州市2023年普通高中和中职技工学校招生计划
本文地址: huizhou.co/355.html + 复制链接
- 相关文章
- 惠州45所高中近年录取分数线汇总招生政策
- 惠州一中2024年第一届“博雅”班自···自主招生
- 收藏!惠州46所高中联系方式最全汇总···招生政策
- 惠州中学2024年“鸿鹄班”招生简章自主招生
- 惠州民办高中学费最全汇总招生政策
- 惠州中学2024年科技、音乐、体育特···特长招生
- 2024年广东中考高中招生录取时间和···招生政策
- 实验中学2024年美术特长生招生特长招生
- 惠州中考直分指标政策一文读懂!指标生···招生政策
- 2024惠州中考实验考试信息汇总招生政策




















